МГУпП
Главная страница
Каталог файлов
Форум
Фотоальбом
Разделы новостей
Сопромат
[1]
Термех
[2]
ТКМ
[1]
Ин.языки
[1]
Разное
[3]
ТММ
[1]
Программы
[1]
Календарь новостей
«
Апрель 2026
»
Пн
Вт
Ср
Чт
Пт
Сб
Вс
1
2
3
4
5
6
7
8
9
10
11
12
13
14
15
16
17
18
19
20
21
22
23
24
25
26
27
28
29
30
Форма входа
Приветствую Вас
Гость
!
Поиск
Друзья сайта
Мини-чат
Для добавления необходима авторизация
Наш опрос
Приходилось вам давать взятку преподавателю?
Нет
Давал не более 2-х раз
Постоянно
Результаты
|
Архив опросов
Всего ответов:
21
Главная
»
Термех
РГР
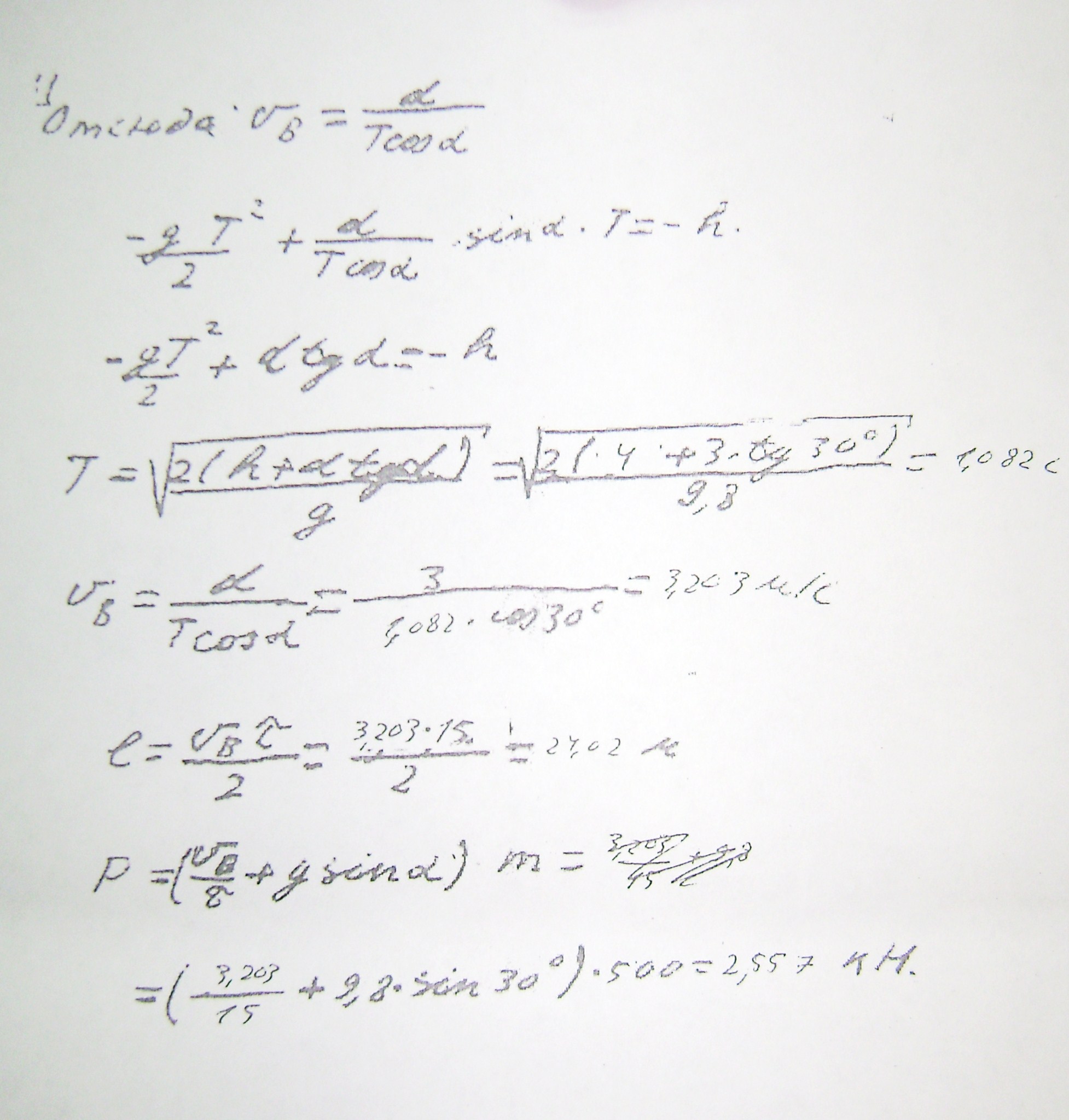
Решение 13 варианта ргр 1
Прикрепления:
Картинка 1
·
Картинка 2
·
Картинка 3
Категория:
Термех
|
Просмотров:
1102
|
Добавил:
iOAIT
|
Дата:
05.10.2008
|
Комментарии (1)
РГР -1
Уважаемые товарищи студенты проявляем активность, оставляем коментарии, свои предложения и критику!
Прикрепления:
Картинка 1
·
Картинка 2
·
Картинка 3
Категория:
Термех
|
Просмотров:
1072
|
Добавил:
iOAIT
|
Дата:
20.09.2008
|
Комментарии (0)